強度計算・実践への一歩
[ねじりを受ける楕円断面] Dated 2013-11-22 Mori Design Office


 
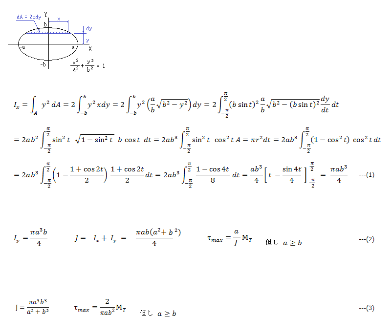
  楕円の断面2次モーメント(慣性モーメント)Ix,Iy、及び極2次モーメント(ねじり定数)J の式は
下記の如く求められる。
従って、ねじりモーメントMT の作用下のねじりせん断応力τは、 (注)なお、サンブナンのねじり定数J およびねじりせん断応力τは、下記式(3)となっている (ねじり剛性 参照)。
   この場合のせん断応力は、最大値が短径端に生じ、楕円が扁平ほど上式(2)よりやや大きい値となる。 ・関連用語とページ:  トルク→ 伝動軸、  断面2次モーメント→ 断面特性の式  楕円上部の断面の特性  ねじり剛性